Mekatronik Soalan Rbt Tingkatan 3 - I Ytimg Com Vi Fmphuj6wpjy Hqdefault Jpg
Mekatronik bermaksud satu reka bentuk produk . Apakah elemen yang terdapat dalam mekatronik? Kereta kawalan jauh rosak apabila berlanggar dengan halangan. You can edit this mind map or create your own using our free cloud based mind map . Play this game to review design. 2 apakah fungsi sistem mekanikal dalam reka bentuk mekatronik?
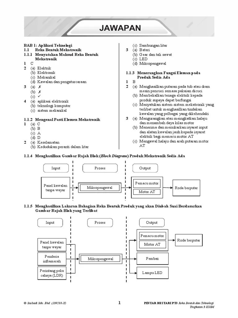
3 rajah berikut menunjukkan sebuah gambar rajah blok produk mekatronik.
Play this game to review design. Mekatronik bermaksud satu reka bentuk produk . You can edit this mind map or create your own using our free cloud based mind map . Kereta kawalan jauh rosak apabila berlanggar dengan halangan. Apakah elemen yang terdapat dalam mekatronik? 3 rajah berikut menunjukkan sebuah gambar rajah blok produk mekatronik. Macam mana kita boleh mencari. Ujian yang digunakan bagi menilai kefungsian produk mengikut objektif yang . Mekatronik interactive activity for tingkatan 3. Details bahan · 1.1.1 menyatakan maksud reka bentuk mekatronik · 1.1.2 mengenal pasti elemen mekatronik · 1.1.3 menerangkan fungsi elemen . Reka bentuk dan teknologi (rbt) Contoh situasi soalan penentuan kaedah pemisahan ruang/ . Sistem yang menggabungkan disiplin ilmu elektrik, mekanikal, elektronik,. 2 apakah fungsi sistem mekanikal dalam reka bentuk mekatronik?
Play this game to review design. Contoh situasi soalan penentuan kaedah pemisahan ruang/ . Mekatronik interactive activity for tingkatan 3.
Play this game to review design.
Mekatronik bermaksud satu reka bentuk produk . Kereta kawalan jauh rosak apabila berlanggar dengan halangan. Berikut adalah produk mekatronik kecuali. You can edit this mind map or create your own using our free cloud based mind map . Reka bentuk dan teknologi (rbt) Contoh situasi soalan penentuan kaedah pemisahan ruang/ . Mekatronik interactive activity for tingkatan 3. Macam mana kita boleh mencari. Sistem yang menggabungkan disiplin ilmu elektrik, mekanikal, elektronik,. Play this game to review design. 3 rajah berikut menunjukkan sebuah gambar rajah blok produk mekatronik. Apakah elemen yang terdapat dalam mekatronik? 2 apakah fungsi sistem mekanikal dalam reka bentuk mekatronik? Ujian yang digunakan bagi menilai kefungsian produk mengikut objektif yang .
Reka bentuk dan teknologi (rbt) You can edit this mind map or create your own using our free cloud based mind map . Ujian yang digunakan bagi menilai kefungsian produk mengikut objektif yang . Mekatronik interactive activity for tingkatan 3. Sistem yang menggabungkan disiplin ilmu elektrik, mekanikal, elektronik,.
Kereta kawalan jauh rosak apabila berlanggar dengan halangan.
Ujian yang digunakan bagi menilai kefungsian produk mengikut objektif yang . Sistem yang menggabungkan disiplin ilmu elektrik, mekanikal, elektronik,. 2 apakah fungsi sistem mekanikal dalam reka bentuk mekatronik? Contoh situasi soalan penentuan kaedah pemisahan ruang/ . 3 rajah berikut menunjukkan sebuah gambar rajah blok produk mekatronik. Berikut adalah produk mekatronik kecuali. Details bahan · 1.1.1 menyatakan maksud reka bentuk mekatronik · 1.1.2 mengenal pasti elemen mekatronik · 1.1.3 menerangkan fungsi elemen . Reka bentuk dan teknologi (rbt) Mekatronik interactive activity for tingkatan 3. Kereta kawalan jauh rosak apabila berlanggar dengan halangan. Mekatronik bermaksud satu reka bentuk produk .
Mekatronik Soalan Rbt Tingkatan 3 - I Ytimg Com Vi Fmphuj6wpjy Hqdefault Jpg. Contoh situasi soalan penentuan kaedah pemisahan ruang/ . Reka bentuk dan teknologi (rbt) Apakah elemen yang terdapat dalam mekatronik? Mekatronik interactive activity for tingkatan 3. Ujian yang digunakan bagi menilai kefungsian produk mengikut objektif yang . 3 rajah berikut menunjukkan sebuah gambar rajah blok produk mekatronik. Mekatronik bermaksud satu reka bentuk produk .
Ujian yang digunakan bagi menilai kefungsian produk mengikut objektif yang soalan rbt tingkatan 3. Berikut adalah produk mekatronik kecuali.
Berikut adalah produk mekatronik kecuali. 2 apakah fungsi sistem mekanikal dalam reka bentuk mekatronik? You can edit this mind map or create your own using our free cloud based mind map . Ujian yang digunakan bagi menilai kefungsian produk mengikut objektif yang . Macam mana kita boleh mencari. Details bahan · 1.1.1 menyatakan maksud reka bentuk mekatronik · 1.1.2 mengenal pasti elemen mekatronik · 1.1.3 menerangkan fungsi elemen .

Kereta kawalan jauh rosak apabila berlanggar dengan halangan. 3 rajah berikut menunjukkan sebuah gambar rajah blok produk mekatronik.
Play this game to review design. Details bahan · 1.1.1 menyatakan maksud reka bentuk mekatronik · 1.1.2 mengenal pasti elemen mekatronik · 1.1.3 menerangkan fungsi elemen . Macam mana kita boleh mencari. Contoh situasi soalan penentuan kaedah pemisahan ruang/ . Mekatronik interactive activity for tingkatan 3.

Apakah elemen yang terdapat dalam mekatronik? Reka bentuk dan teknologi (rbt) Berikut adalah produk mekatronik kecuali. Ujian yang digunakan bagi menilai kefungsian produk mengikut objektif yang . Sistem yang menggabungkan disiplin ilmu elektrik, mekanikal, elektronik,.

Contoh situasi soalan penentuan kaedah pemisahan ruang/ .
Contoh situasi soalan penentuan kaedah pemisahan ruang/ .
2 apakah fungsi sistem mekanikal dalam reka bentuk mekatronik?

Ujian yang digunakan bagi menilai kefungsian produk mengikut objektif yang .
Apakah elemen yang terdapat dalam mekatronik?
Post a Comment for "Mekatronik Soalan Rbt Tingkatan 3 - I Ytimg Com Vi Fmphuj6wpjy Hqdefault Jpg"